趋势划线(源码 主图 趋势和黄金分割两套选股)

指标构思
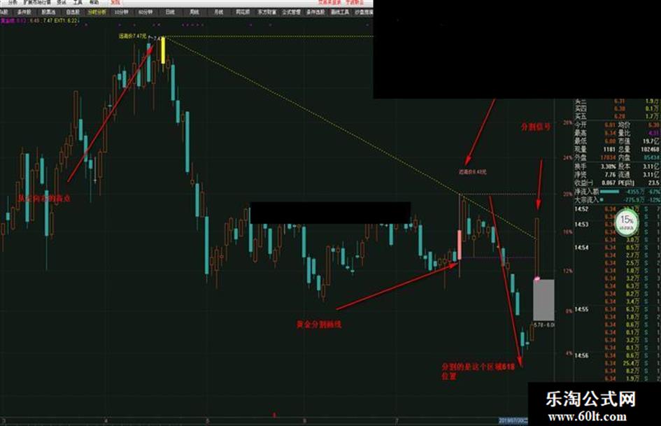
这套指标是先找出最近N周期(可自行修改周期)从左往右的远高点,再找到今天向右N周期的近高点。将两点连线后,对突破黄色趋势线和枚红色黄金分割618位置进行选股。
远高点和近高点水平画线不能进行选股,因为如果突破这两条线那么画线将重新画。
黄金618位置是近高点和近高点形成后产生的最低点进行分割。
附件分为主图信号画线和二套选股(趋势选股  黄金分割选股)

这套指标是先找出最近N周期(可自行修改周期)从左往右的远高点,再找到今天向右N周期的近高点。将两点连线后,对突破黄色趋势线和枚红色黄金分割618位置进行选股。
远高点和近高点水平画线不能进行选股,因为如果突破这两条线那么画线将重新画。
我这里参数设置为60日。
意思从左向右60天的高点为起点,从右向左60天内的高点为终点画趋势线。您可以自由设置N就可以改变画线
黄金618位置是近高点和近高点形成后产生的最低点进行分割。
指标只是参考,选股和参数还需要各自琢磨!!
{主图信号}

 
{副图源码如下}

N:=60;
JH:=HHVBARS(H,N);
YH:=BARSLAST(H=HHV(H,N));
QD:=CURRBARSCOUNT=CONST(YH)+1;
ZD:=CURRBARSCOUNT=CONST(JH)+1;
HH:=REF(H,YH);
DH:=REF(H,JH);
JD:=LLVBARS(L,JH);
LL:=CONST(REF(L,JD));
黄金线:IF(CURRBARSCOUNT<=CONST(JH)+1,(CONST(DH)-CONST(LL))*0.618+CONST(LL),DRAWNULL),DOTLINE,COLORMAGENTA;
IF(CURRBARSCOUNT<=CONST(JH)+1,CONST(DH),DRAWNULL),DOTLINE,COLORLIRED;
IF(CURRBARSCOUNT<=CONST(YH)+1,CONST(HH),DRAWNULL),DOTLINE,COLORYELLOW;
EXT1:DRAWLINE(QD,H,ZD,H,1),DOTLINE,COLORYELLOW;
STICKLINE(QD,H,L,0,0),COLORYELLOW;
STICKLINE(QD,C,O,2,0),COLORYELLOW;
STICKLINE(ZD,H,L,0,0),COLORLIRED;
STICKLINE(ZD,C,O,2,0),COLORLIRED;
DRAWTEXT(CURRBARSCOUNT=CONST(YH)+10,CONST(HH),VARCAT(VARCAT('远高价',VAR2STR(CONST(HH),2)),'元')),COLORYELLOW;
DRAWTEXT(ZD,H*1.02,VARCAT(VARCAT('近高价',VAR2STR(H,2)),'元')),COLORLIRED;
DRAWICON(CROSS(C,EXT1) AND CURRBARSCOUNT<CONST(JH)+1,L,1);
DRAWICON(CROSS(C,黄金线) AND CURRBARSCOUNT<CONST(JD)+1,L,25);


{选股1源码如下}
N:=60;
JH:=HHVBARS(H,N);
YH:=BARSLAST(H=HHV(H,N));
QD:=CURRBARSCOUNT=CONST(YH)+1;
ZD:=CURRBARSCOUNT=CONST(JH)+1;
HH:=REF(H,YH);
DH:=REF(H,JH);
JD:=LLVBARS(L,JH) ;
LL:=CONST(REF(L,JD));
黄金线:=IF(CURRBARSCOUNT<=CONST(JH)+1,(CONST(DH)-CONST(LL))*0.618+CONST(LL),DRAWNULL);
CROSS(C,黄金线) AND CURRBARSCOUNT<CONST(JD)+1;




{选股2源码如下}
N:=60;
JH:=HHVBARS(H,N);
YH:=BARSLAST(H=HHV(H,N));
QD:=CURRBARSCOUNT=CONST(YH)+1;
ZD:=CURRBARSCOUNT=CONST(JH)+1;
HH:=REF(H,YH);
DH:=REF(H,JH);
JD:=LLVBARS(L,JH) ;
LL:=CONST(REF(L,JD));
EXT1:=DRAWLINE(QD,H,ZD,H,1);
CROSS(C,EXT1) AND CURRBARSCOUNT<=CONST(JH)+1;




来函数检测结果如下
该公式没有未来函数


定制、编写公式指标请联系QQ或微信同号:88652583


N赋值:60
JH赋值:N日内最高价距今天数
YH赋值:上次最高价=N日内最高价的最高值距今天数
QD赋值:到最后交易的周期=YH的最后一日取值设为常数+1
ZD赋值:到最后交易的周期=JH的最后一日取值设为常数+1
HH赋值:YH日前的最高价
DH赋值:JH日前的最高价
JD赋值:JH日内最低价距今天数
LL赋值:JD日前的最低价的最后一日取值设为常数
输出黄金线:如果到最后交易的周期<=JH的最后一日取值设为常数+1,返回(DH的最后一日取值设为常数-LL的最后一日取值设为常数)*0.618+LL的最后一日取值设为常数,否则返回无效数,DOTLINE,画洋红色
如果到最后交易的周期<=JH的最后一日取值设为常数+1,返回DH的最后一日取值设为常数,否则返回无效数,DOTLINE,画淡红色
如果到最后交易的周期<=YH的最后一日取值设为常数+1,返回HH的最后一日取值设为常数,否则返回无效数,DOTLINE,画黄色
输出EXT1:当满足条件QD时,在最高价位置画直线起点,当满足条件ZD时,在最高价位置画直线终点,1表示是否延长.,DOTLINE,画黄色
当满足条件QD时,在最高价和最低价位置之间画柱状线,宽度为0,0不为0则画空心柱.,画黄色
当满足条件QD时,在收盘价和开盘价位置之间画柱状线,宽度为2,0不为0则画空心柱.,画黄色
当满足条件ZD时,在最高价和最低价位置之间画柱状线,宽度为0,0不为0则画空心柱.,画淡红色
当满足条件ZD时,在收盘价和开盘价位置之间画柱状线,宽度为2,0不为0则画空心柱.,画淡红色
当满足条件到最后交易的周期=YH的最后一日取值设为常数+10时,在HH的最后一日取值设为常数位置书写文字,画黄色
当满足条件ZD时,在最高价*1.02位置书写文字,画淡红色
当满足条件收盘价上穿EXT1ANDCURRBARSCOUNT当满足条件收盘价上穿黄金线ANDCURRBARSCOUNTN赋值:60
JH赋值:N日内最高价距今天数
YH赋值:上次最高价=N日内最高价的最高值距今天数
QD赋值:到最后交易的周期=YH的最后一日取值设为常数+1
ZD赋值:到最后交易的周期=JH的最后一日取值设为常数+1
HH赋值:YH日前的最高价
DH赋值:JH日前的最高价
JD赋值:JH日内最低价距今天数
LL赋值:JD日前的最低价的最后一日取值设为常数
黄金线赋值:如果到最后交易的周期<=JH的最后一日取值设为常数+1,返回(DH的最后一日取值设为常数-LL的最后一日取值设为常数)*0.618+LL的最后一日取值设为常数,否则返回无效数
收盘价上穿黄金线 AND 到最后交易的周期N赋值:60
JH赋值:N日内最高价距今天数
YH赋值:上次最高价=N日内最高价的最高值距今天数
QD赋值:到最后交易的周期=YH的最后一日取值设为常数+1
ZD赋值:到最后交易的周期=JH的最后一日取值设为常数+1
HH赋值:YH日前的最高价
DH赋值:JH日前的最高价
JD赋值:JH日内最低价距今天数
LL赋值:JD日前的最低价的最后一日取值设为常数
EXT1赋值:当满足条件QD时,在最高价位置画直线起点,当满足条件ZD时,在最高价位置画直线终点,1表示是否延长.
收盘价上穿EXT1 AND 到最后交易的周期<=JH的最后一日取值设为常数+1
定制、找人做指标公式联系我们
  • QQ:88652583
  • 邮箱:88652583@qq.com
  • 工作时间:7:30-21:00
  • 微信:88652583或扫描如下二维码
指标公式网微信联系方式
月度排行
季度排行
半年排行


指标安装下载帮助  -   联系我们  -  乐淘公式网  -  公式网   -  指标公式  -   免责声明  -   隐私政策  -   加入收藏   

@2005-2025 粤ICP备2025457605号-2 乐淘公式网公式网均来源互联网收集整理,如不慎侵犯了你的权益,请联系我们告知,我们将做删除处理
免责声明:乐淘公式网所有指标公式及文章由网络收集,不保障实时性和真实性, 仅供学习研究并不构成投资建议,请勿以此为依据进行股票交易,由此引起的投资亏损与本站无关。
QQ:88652583 微信 88652583
sitemap站点地图