大智慧可变四区主图指标公式

 

现在我们认为仅仅有均线不能说明其阻力位.支撑位.我们加进了四区图.加进了黄金分割.而且这个公式和其他不同的就是他每出现一个新的高低点就重新划分新的四区和黄金分割.这是其他同类公式无法比拟的.就是上万个你也找不出能和这个公式相同的.或者接近相同的公式.我们永远不会重复编辑公式而是要不断更新.创造与众不同的公式.
下边经过改编的新图原码.我们必需谢谢【九九九九九九】提供的源码.才有现在的公式.而且新公式的要领和原作是一样的.我就是借题发挥而已.也是告诉大家学会怎么利用原来的公式.为我所用.只有使用你自己的编辑公式.用起来才能得心应手.明明白白公式的含义.其实世界上哪有那么些发明创造.能在前人的基础上更新.改造.提高.也是前进.而且是必需的.只要不是原封不动就是向前进步了.你不妨仔细比较就会发现.细微的变化还是不少的.这就加进了我本人的看法.你再去利用公式前也要加进你的意思公式才会更好的为你服务.其实这才是我编辑这个公式的真正企图.
{可变四区}
{1.K线}
STICKLINE(CLOSE>OPEN,CLOSE,OPEN,8.5,0) ,COLOR000011;
STICKLINE(CLOSE>OPEN,CLOSE,OPEN,7,0) ,COLOR000033;
STICKLINE(CLOSE>OPEN,CLOSE,OPEN,6,0) ,COLOR000055;
STICKLINE(CLOSE>OPEN,CLOSE,OPEN,5,0) ,COLOR000077;
STICKLINE(CLOSE>OPEN,CLOSE,OPEN,4,0) ,COLOR000099;
STICKLINE(CLOSE>OPEN,CLOSE,OPEN,3,0) ,COLOR0000BB;
STICKLINE(CLOSE>OPEN,CLOSE,OPEN,2,0) ,COLOR0000DD;
STICKLINE((CLOSE >= OPEN),HIGH,LOW,0.5,0),color0000FF;

STICKLINE((OPEN >= CLOSE),CLOSE,OPEN,8.5,0),color006600;
STICKLINE((OPEN >= CLOSE),CLOSE,OPEN,7,0),color008800;
STICKLINE((OPEN >= CLOSE),CLOSE,OPEN,6,0),color00AA00;
STICKLINE((OPEN >= CLOSE),CLOSE,OPEN,5,0),color00BB00;
STICKLINE((OPEN >= CLOSE),CLOSE,OPEN,4,0),color00CC00;
STICKLINE((OPEN >= CLOSE),CLOSE,OPEN,3,0),color00DD00;
STICKLINE((OPEN >= CLOSE),CLOSE,OPEN,2,0),color00EE00;
STICKLINE((OPEN > CLOSE),HIGH,LOW,0.5,0),color00FF00;

AH1:hhv(h,last(CROSS(ma(c,90),ma(c,30))=0)+1),color0077FF;
AL2:llv(l,last(CROSS(ma(c,90),ma(c,30))=0)+1),colorFF9900;
下跌:LAST(AH1>H),PRECIS0 ,LINETHICK0;
DRAWTEXT(barstatus=2 AND 下跌,AH1,'----【N:='+NUMTOSTRN(下跌,0)+'】---- '),ALIGN2,Color00FFff,linethick3,LAYER0;

X:=BARSLAST(DISPSTATUS=1)+1;
P:=BACKSET(DISPSTATUS=2,X/2+1);
K:=BARSLAST(CROSS(P,0.5))+1;
K0:(0.5*AH1+0.5*AL2),COLOR00ffff,DOTLINE;
K1:IF(K>=0,(0.618*AH1+0.382*AL2),0),COLOR0077ff,DOTLINE;
K2:IF(K>=0,AL2+(AH1-AL2)*0.74,0),COLOR00FFff,DOTLINE;
K3:IF(K>=0,AL2+(AH1-AL2)*0.865,0),COLOR0000ff,DOTLINE;
K5:IF(K>=0,(0.382*AH1+0.618*AL2),0),COLOR0598ff,DOTLINE;
K6:IF(K>=0,AH1-(AH1-AL2)*0.74,0),DOTLINE;
K7:IF(K>=0,AH1-(AH1-AL2)*0.865,0),COLOR99ff99,DOTLINE;

nnl:=DISPSTATUS=2;
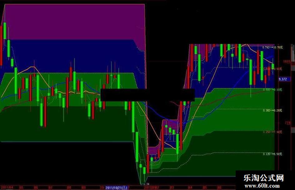
DRAWTEXT(nnl,AH1*0.998,'最高--→'+AH1+'元'),ALIGN1,Color0047FF,LINETHICK1;
DRAWTEXT(nnl,K3,'0.865-→'+NUMTOSTRN(K3,2)+'元'),ALIGN1,Color0047FF,LINETHICK1;
DRAWTEXT(nnl,K2,'0.742-→'+NUMTOSTRN(K2,2)+'元'),ALIGN1,Color00FFff,LINETHICK1;
DRAWTEXT(nnl,K1,'0.618-→'+NUMTOSTRN(K1,2)+'元'),ALIGN1,Color0047FF,LINETHICK1;
DRAWTEXT(nnl,K0,'0.500-→'+NUMTOSTRN(K0,2)+'元'),ALIGN1,Color00FF00,LINETHICK1;
DRAWTEXT(nnl,K5,'0.382-→'+NUMTOSTRN(K5,2)+'元'),ALIGN1,Color00FFff,LINETHICK1;
DRAWTEXT(nnl,K6,'0.258-→'+NUMTOSTRN(K6,2)+'元'),ALIGN1,Color0047FF,LINETHICK1;
DRAWTEXT(nnl,K7,'0.135-→'+NUMTOSTRN(K7,2)+'元'),ALIGN1,Color99FF99,LINETHICK1;
DRAWTEXT(nnl,AL2*1,'最低--→'+AL2+'元'),ALIGN1,VALIGN2,Color0047FF,LINETHICK1;

HK1:=AL2+(AH1-AL2)*0.742;
HK2:=AL2+(AH1-AL2)*0.5;
HK3:=AL2+(AH1-AL2)*0.258;
FILLRGN(AH1,HK1,AH1>HK1,RGB(90,0,90)),LAYER7;
FILLRGN(HK1,HK2,HK1>HK2,RGB(0,0,90)),LAYER7;
FILLRGN(HK2,HK3,HK2>HK3,RGB(0,90,0)),LAYER7;
FILLRGN(HK3,AL2,HK3>AL2,RGB(0,45,0)),LAYER7;

#define N(MAC99) if(BARSCOUNT(C)<MAC99,0,MAC99)
if DATATYPE>10 then begin {月}
MA(CLOSE,n(6)),DOTLINE,color999999;
MA(CLOSE,n(12)),DOTLINE,LINETHICK2,Color0080FF;
MA(CLOSE,n(24)),DOTLINE,LINETHICK2,Colorblue;
MA(CLOSE,n(48)),DOTLINE,LINETHICK2,Color400080;
end

if DATATYPE=9 then begin {周}
MA(CLOSE,n(4)),DOTLINE,color999999;
MA(CLOSE,n(12)),DOTLINE,LINETHICK2,Color0080FF;
MA(CLOSE,n(24)),DOTLINE,LINETHICK2,Colorblue;
MA(CLOSE,n(48)),DOTLINE,LINETHICK2,Color400080;
end

if DATATYPE=8 then begin {日}
M5:MA(CLOSE,n(5)),color0000FF;
M13:MA(CLOSE,n(13)),color0077FF;
M21:MA(CLOSE,n(21)),color999999;
M55:MA(CLOSE,n(55)),LINETHICK2,Color0080FF;
M89:MA(CLOSE,n(89)),LINETHICK2,Colorblue;
M121:MA(CLOSE,n(121)),LINETHICK2,Color400080;

end
if DATATYPE=7 then begin {60分}
MA(CLOSE,n(5)),DOTLINE,colorgreen;
MA(CLOSE,n(10)),DOTLINE,colorred;
MA(CLOSE,n(20)),DOTLINE,color999900;
MA(CLOSE,n(100)),DOTLINE,color999999;
end
if DATATYPE=6 then begin {30分}
MA(CLOSE,n(5)),DOTLINE,colorff00ff;
MA(CLOSE,n(10)),DOTLINE,colorgreen;
MA(CLOSE,n(60)),DOTLINE,color999900;
MA(CLOSE,n(300)),DOTLINE,color999999;
end
if DATATYPE=5 then begin {15分}
MA(CLOSE,n(5)),DOTLINE,color00ffff;
MA(CLOSE,n(10)),DOTLINE,colorff00ff;
MA(CLOSE,n(20)),DOTLINE,colorgreen;
MA(CLOSE,n(100)),DOTLINE,color999900;
end
if DATATYPE=4 then begin {5分}
MA(CLOSE,n(5)),DOTLINE,colorwhite;
MA(CLOSE,n(15)),DOTLINE,color00ffff;
MA(CLOSE,n(30)),DOTLINE,colorff00ff;
MA(CLOSE,n(60)),DOTLINE,colorgreen;
end
if DATATYPE=3 or DATATYPE=1 then begin {分时 OR 1分}
ma25n1:MA(CLOSE,n(25)),DOTLINE,colorwhite;
ma75n1:MA(CLOSE,n(75)),DOTLINE,color00ffff;
ma150n1:MA(CLOSE,n(150)),DOTLINE,colorff00ff;
ma300n1:MA(CLOSE,n(300)),DOTLINE,colorgreen;
end
if DATATYPE=2 then begin {分笔};
ma100f:MA(CLOSE,n(100)),DOTLINE,colorwhite;
ma200f:MA(CLOSE,n(200)),DOTLINE,color00ffff;
ma500f:MA(CLOSE,n(500)),DOTLINE,colorff00ff;
ma1000f:MA(CLOSE,n(1000)),DOTLINE,colorgreen;
end;
 




来函数检测结果如下
该公式包含未来函数:BACKSET

定制、编写公式指标请联系QQ或微信同号:88652583


定制、找人做指标公式联系我们
  • QQ:88652583
  • 邮箱:88652583@qq.com
  • 工作时间:7:30-21:00
  • 微信:88652583或扫描如下二维码
指标公式网微信联系方式
月度排行
季度排行
半年排行


指标安装下载帮助  -   联系我们  -  乐淘公式网  -  公式网   -  指标公式  -   免责声明  -   隐私政策  -   加入收藏   

@2005-2025 粤ICP备2025457605号-2 乐淘公式网公式网均来源互联网收集整理,如不慎侵犯了你的权益,请联系我们告知,我们将做删除处理
免责声明:乐淘公式网所有指标公式及文章由网络收集,不保障实时性和真实性, 仅供学习研究并不构成投资建议,请勿以此为依据进行股票交易,由此引起的投资亏损与本站无关。
QQ:88652583 微信 88652583
sitemap站点地图