飞狐速阻主图指标源码

 

飞狐速阻划线主图指标!分享指标分享快乐!

源码:
input:n(16);
drawtext(sysparam(2)=barpos,c,'板块:'+blkname),colorccffff,align4;
dd:="xh-z.dd"(n);
gg:="xh-z.gg"(n);
z:=dd*L+gg*h;
gd:=gg+dd;
DRAWICON(dd,z,12);
p:=SYSPARAM(1);
sgd:=sum(gd,0);
gds:=sgd[p]-sgd+1;
sb:=if(gds<1,1,gds);
sa:=(sb<ref(sb,1))*sb;
hb:=hhv((sa=1)*BARPOS,0);
q:=hb[p];
wgd:=ref(barslast(gd),1)+1;
DRAWICON(gd,dd*L+gg*h,12);
hgd:=if(gg,h,if(dd,L,0));
Lgd:=if(gg,ref(L,wgd),if(dd,ref(h,wgd),0));
yhL:=(hgd-Lgd)/4;
oo:=CROSS(BACKSET(q=BARPOS,wgd[q]+1),0.5);{定点}
qz:=(wgd[q])*4/3;{画斜线1}
w:=sumbars(gd,2)-1;
K1:=(hgd[q]-Lgd[q])/qz*4/3,LINETHICK0;
d1:ref(z,w)+k1*w,LINETHICK0,ColorFF6FB7;
K2:=(hgd[q]-Lgd[q])/qz/1.123,LINETHICK0;
d2:ref(z,w)+k2*w,LINETHICK0,ColorFF6FB7;
K3:=(hgd[q]-Lgd[q])/qz/2.246,LINETHICK0;
d3:ref(z,w)+k3*w,LINETHICK0,ColorFF6FB7;
DRAWSL(oo,Lgd[q],k1,0,0),LINETHICK1,ColorFF6FB7;
DRAWSL(oo,Lgd[q],k2,0,0),POINTDOT,ColorFF6FB7;
DRAWSL(oo,Lgd[q],k3,0,0),POINTDOT,ColorFF6FB7;
{画斜线2}
b1:=(Lgd[q]-hgd[q])/qz*4/3,LINETHICK0;
g1:ref(hgd[q],w)+b1*w,LINETHICK0,Color74AFFF;
b2:=(Lgd[q]-hgd[q])/qz/1.132,LINETHICK0;
g2:ref(hgd[q],w)+b2*w,LINETHICK0,Color74AFFF;
b3:=(Lgd[q]-hgd[q])/qz/2.246,LINETHICK0;
g3:ref(hgd[q],w)+b3*w,LINETHICK0,Color74AFFF;
DRAWSL(oo,hgd[q],b1,0,0),Color74AFFF,LINETHICK1;
DRAWSL(oo,hgd[q],b2,0,0),POINTDOT,Color74AFFF;
DRAWSL(oo,hgd[q],b3,0,0),POINTDOT,Color74AFFF;
i1:='斜率\nk1\n'+'±'+NUMTOSTR(abs(k1)*100,3)+'\nk2\n'+'±'
+NUMTOSTR(abs(k2)*100,3)+'\nk3\n'+'±'+NUMTOSTR(abs(k3)*100,3);
DRAWTEXT(BARPOS=SYSPARAM(3)-15,h,i1),ALIGN4,SHIFT1,Color74AFFF;
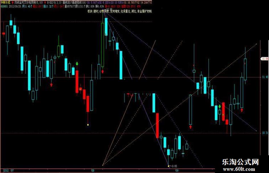
贴图;

 

 

使用说明:
速阻线,又称速度阻挡线,是由埃德森·古尔德创立的一种分析工具。当价格上升或下跌的第一波型态完成后,利用第一波的展开幅度可推测出后市发展的几条速度线,可作为支撑和阻力位置。
关注两点:
(1)在速阻线的不同波段选取中如果有速度线出现重叠的现象,这条线在未来的趋势判断中会有很强的作用。   
(2)在速阻线的不同波段选取中如果有速度线出现相交的现象,该交点将有时间预示作用,可以在该处做变盘操作。




来函数检测结果如下
该公式包含未来函数:BACKSET

定制、编写公式指标请联系QQ或微信同号:88652583


定制、找人做指标公式联系我们
  • QQ:88652583
  • 邮箱:88652583@qq.com
  • 工作时间:7:30-21:00
  • 微信:88652583或扫描如下二维码
指标公式网微信联系方式
月度排行
季度排行
半年排行


指标安装下载帮助  -   联系我们  -  乐淘公式网  -  公式网   -  指标公式  -   免责声明  -   隐私政策  -   加入收藏   

@2005-2025 粤ICP备2025457605号-2 乐淘公式网公式网均来源互联网收集整理,如不慎侵犯了你的权益,请联系我们告知,我们将做删除处理
免责声明:乐淘公式网所有指标公式及文章由网络收集,不保障实时性和真实性, 仅供学习研究并不构成投资建议,请勿以此为依据进行股票交易,由此引起的投资亏损与本站无关。
QQ:88652583 微信 88652583
sitemap站点地图